
곡선 및 곡면의 정의와 그 성질들을 살펴보자.
Math
2026-03-17
-

잘한 점도 많고 아쉬운 점도 많았던 2025년을 돌아보며
Retrospect
2026-01-17
-

동형 정리, 실로우 정리, 갈루아 이론, 제곱근 확대체에 대한 탐구
Math
2025-11-26
-

집합론 입문에 아주 적절한 책이었다
Math
2025-11-07
-

준동형 기본 정리, 분수체, 다항식, 체의 확대에 대한 탐구
Math
2025-10-05
-

문제 출제부터 시스템 개발, 운영까지 직접 수학 대회를 개최해보았다
Math
Activity
2025-09-24
-

복소해석적 함수들의 간결하고 우아한 성질들을 파헤친다.
Math
2025-08-04
-

기본 라우팅부터 Nested Routes, Dynamic Segments까지 전부 만들어보자
Programming
2025-03-16
-
새로운 게임과 함께 반년만에 돌아온 더 지니어스 오프라인 모임
Activity
2025-02-16
-

Next.js, FastAPI, Supabase로 구성된 인공지능 챗봇의 아키텍처와 작동 방식
Programming
2025-02-02
-

단순한 폼에서 시작해 useContext, useReducer, Redux 순으로 최적화해보자
Programming
2025-01-05
-

이미 정렬되어 있는 경우, 비슷한 원소가 많은 경우 알고리즘을 수정해보자
Programming
2024-11-10
-

개발자로서 처음으로 후원을 받아보았다..!
Programming
2024-10-13
-

더 지니어스 in CLS 진행 결과 및 회고
Activity
2024-08-25
-

과학적 실재론 및 그와 관련된 여러 가지 주장들, 그리고 나의 생각
Science
2024-06-25
-

supabase 회원가입부터 시작하는 간단한 튜토리얼
Programming
2024-02-19
-

차세대 조판 소프트웨어 typst, 그리고 재미있는 문제들
Math
2024-01-09
-

고양이는 어떻게 공중에서 180도 회전을 할까?
Science
2023-11-26
-

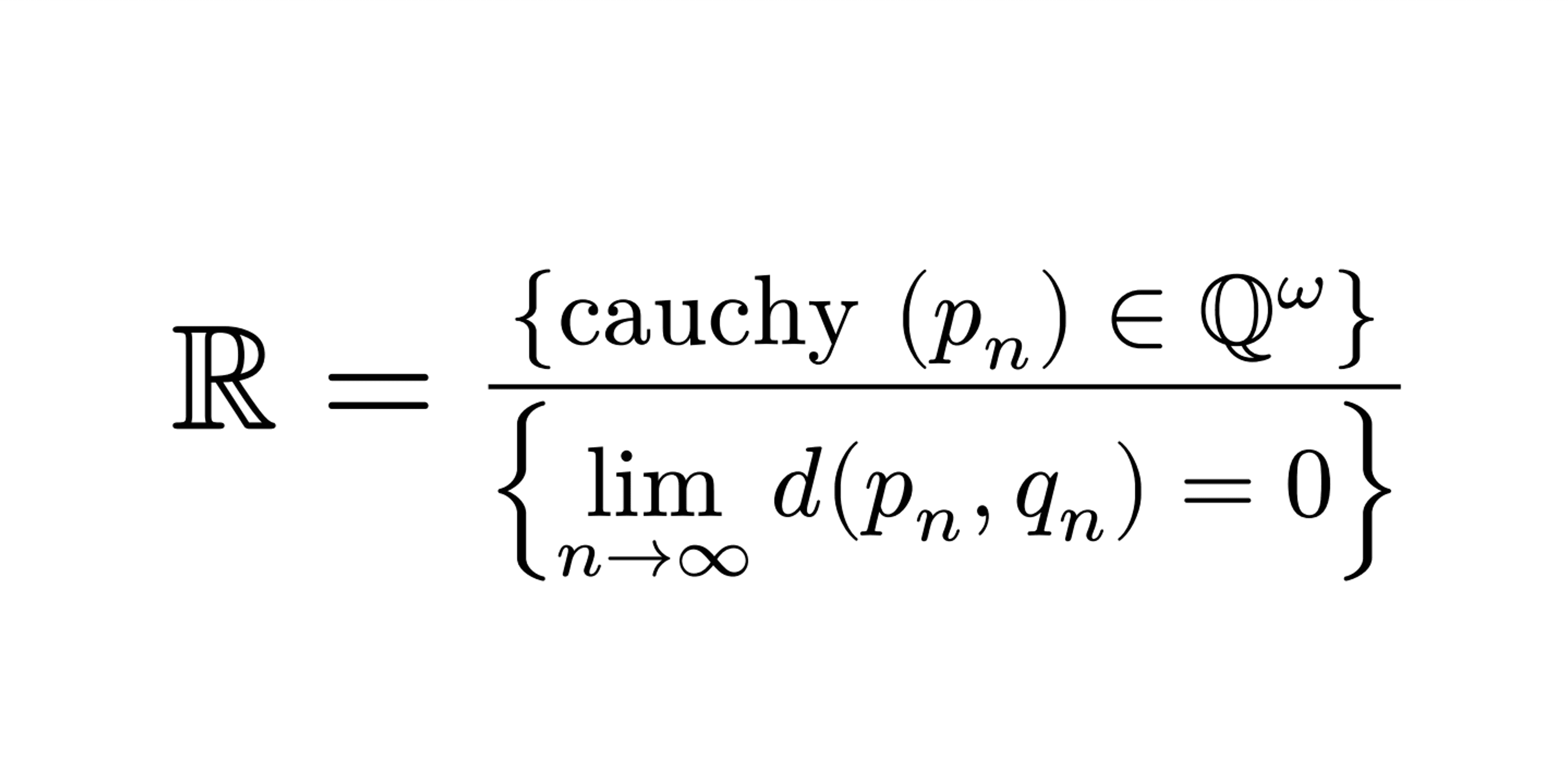
코시 수열을 이용한 완비 거리 공간 생성
Math
2023-08-20
-

Next.js와 contentlayer로 블로그를 만들었다
Programming
2023-07-09
-

풀이집 구성과 흥미로웠던 문제 소개
Math
2023-07-02
-
© 2025 geniusLHS. All rights reserved.